
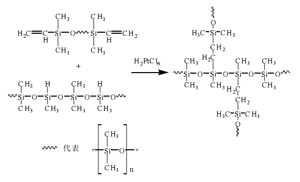
雙組份加成型硅橡膠則首要由乙烯基聚二甲基硅氧烷與氫基聚二甲基硅氧烷,在鉑催化劑的催化感化下發生硅氫加成反映,而交聯成的網狀布局的彈性體。產物分為A、B兩組份包裝,利用時按必然比例將兩組份充實夾雜平均,在必然溫度下,便可硫化成彈性體。其硫化機理是,生膠端基上的乙烯基和交聯劑份子上的硅氫鍵,在含鉑化合物的催化下發生加成反映來實現的。

圖1 加成型硅橡膠反映機理
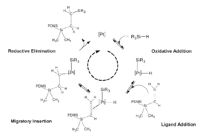
加成型硅橡膠的固化劑即鉑金催化劑,大大都加成型硅橡膠都是經由過程鉑金催化劑來使其固化的。
普通以第八族過渡金屬(比方鉑、鈀、銠、鎳)及其化合物或響應絡合物作為硅氫加成反映的催化劑,研討標明,這些品種催化劑中,鉑類催化劑具備最好的催化效力2931。將鉑化合物制成與聚硅氧烷的的相容性很是好的甲基乙烯基硅氧烷配位化合物,即 Karstedt催化劑,或將鉑化合物溶于四氫呋喃或異丙醇中構成共同物溶液,其催化效力更佳,其催化機理如圖2所示。鉑催化劑的催化效力較高,故利用量較少,普通(以鉑計)在聚合物總重的5~500pm之間3。李艷萍等研討了鉑催化劑增加量在5~100ppm規模內變更時,對加成型硅橡膠固化時候和力學機能的影響,發明催化劑增加量為15ppm時,固化時候少于200s,彈性模量可達7.7MPa,斷裂伸長率可達730%。催化劑用量并不是越多越好,催化劑適量時,反映太快,膠料外部氣泡來不迭逸出便被密封在加成型硅橡膠里,輕易形成機能上的缺點。

圖2 鉑催化劑的催化道理表示圖
雄圖加成型液體硅膠出貨裝
